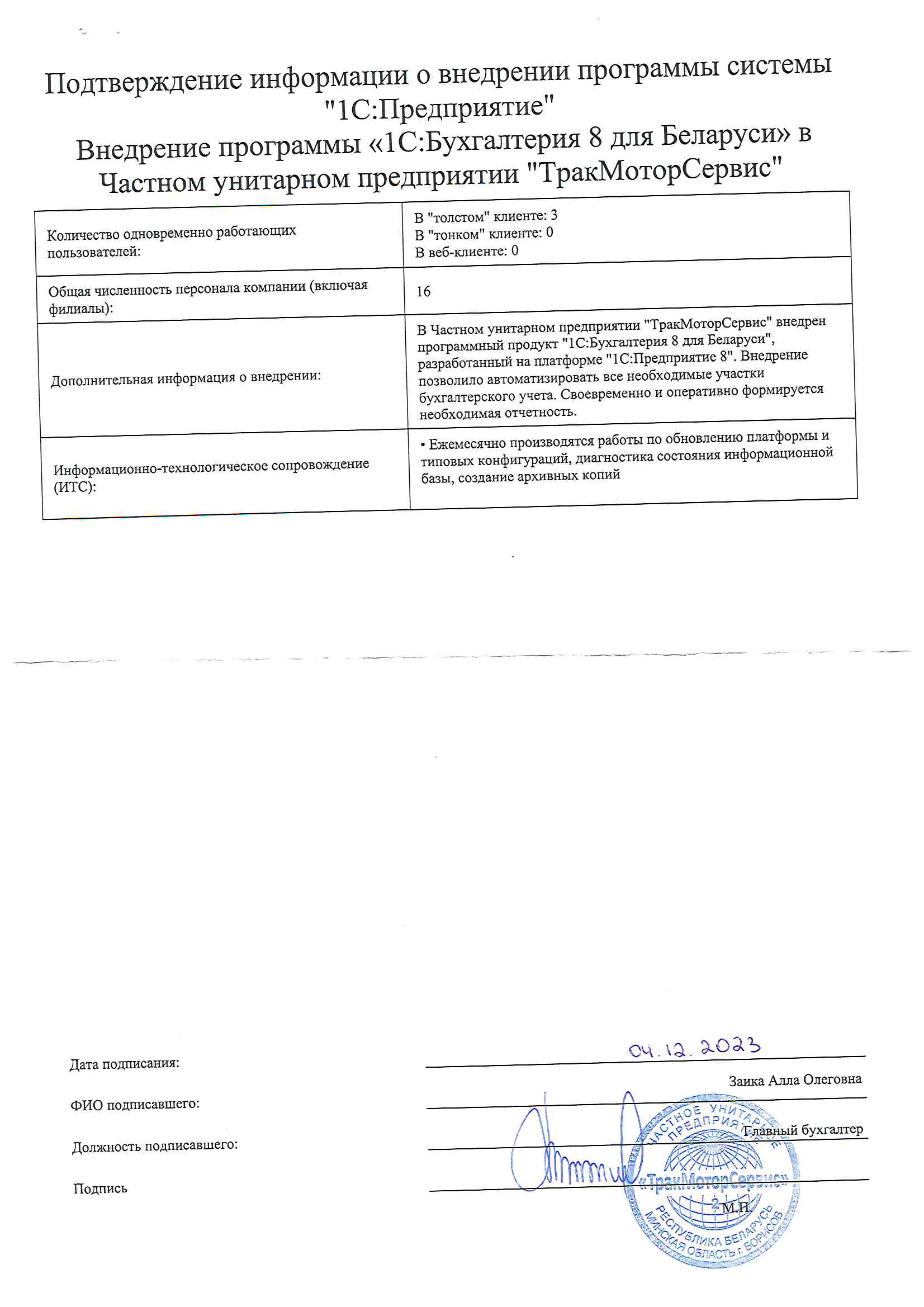
Частное унитарное предприятие "ТракМоторСервис"

 

Частному унитарному предприятию "ТракМоторСервис" для автоматизации задач бухгалтерского учета требовалась надежная и простая программа, обладающая всем необходимым для бухгалтера функционалом. Выбор был сделан в пользу программного обеспечения «ИС: Автоматизация бизнеса 8» на базе платформы «1С:Предприятие 8».

 

Сообщаем, что в нашей организации с 31 октября 2023 года введено в эксплуатацию программное обеспечение «ИС:АБ 8. Бухгалтерия», «ИС:Автоматизация бизнеса 8. Зарплата», «ИС:Автоматизация бизнеса 8. Кадры», «ИС:АБ 8. ГСМ» (далее ПО) на базе платформы «1С:Предприятие 8» при помощи партнёра ЗАО «Интеллектуальные системы».

В результате проекта внедрения программа успешно введена в учетный процесс организации. Освоение программного обеспечения позволило значительно сократить время на обработку учетно-аналитической информации, снизить объем документооборота, оперативно получать необходимые данные. Особое внимание следует уделить высокой скорости и простоте формирования регламентированной отчетности. Программа отвечает всем актуальным требованиям законодательства, позволяет эффективно взаимодействовать с другими системами, такими как «Клиент-Банк».

 

Отдельно выражаем благодарность сотруднику компании ЗАО «Интеллектуальные   системы» - Папковской Татьяне Игоревне - за помощь в освоении программы, отзывчивость и готовность помочь в любой ситуации, глубокие познания предметной области учета и самой программы. 


Программы 1С

  • Бухгалтерия
  • Зарплата
  • Кадры

Детали

  • Автоматизация в 2023 году
  • Автоматизация бухгалтерского учета
  • Автоматизация заработной платы
  • Автоматизация кадрового учета

Отзывы клиентов

Хотите работать с профессионалами? Не стесняйтесь!
Позвоните в Отдел продаж  +375 (17) 305-15-15
Позвоните на Линию консультаций  +375 (17) 361-61-61
Напишите на e-mail info@is.by
Оставьте пожелание в «Кабинете клиента»

Оставить сообщение через сайт